เพื่อให้รู้เวลาอยู่เสมอ คุณไม่เพียงแต่ต้องสวมนาฬิกาที่ข้อมือหรือในกระเป๋าเท่านั้น แต่ยังต้องมีนาฬิกาที่เชื่อถือได้ด้วย แบตเตอรี่นาฬิกามิเช่นนั้น นาฬิกาปลุกอาจหยุดทำงานในเวลาที่ไม่เหมาะสมที่สุด จึงเป็นสิ่งสำคัญที่นาฬิกาปลุกจะต้องทำงานได้อย่างถูกต้อง มิเช่นนั้นคุณอาจนอนหลับเกินเวลาได้
- ตารางขนาดแบตเตอรี่นาฬิกา
- วิธีเปลี่ยนแบตเตอรี่นาฬิกาข้อมือ?
- รายชื่อนาฬิกาที่มีแบตเตอรี่ใช้งานได้นาน 10 ปี
- ตารางความเข้ากันได้ของแบตเตอรี่นาฬิกา
- นาฬิกาควอตซ์ ใช้แบตเตอรี่หรือไม่?
- แบตเตอรี่นาฬิการาคาเท่าไหร่?
- วิธีเลือกแบตเตอรี่นาฬิกา? เคล็ดลับ!
- ควรเลือกใช้ยาอะไร: LR หรือ SR?
- ความต้านทานภายในสูงหรือต่ำ แบบไหนดีกว่ากัน?
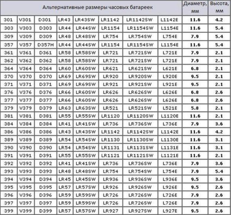
ตารางขนาดแบตเตอรี่นาฬิกา
ด้านล่างนี้คือข้อมูลเกี่ยวกับขนาดของแบตเตอรี่นาฬิกาที่ใช้ในนาฬิกาข้อมือ
วิธีเปลี่ยนแบตเตอรี่นาฬิกาข้อมือ?
ในการติดตั้งแบตเตอรี่ใหม่ คุณจะต้องถอดชิ้นส่วนอุปกรณ์และนำแบตเตอรี่ที่เสื่อมสภาพออก ควรทำเช่นนี้ก่อนที่สารละลายอิเล็กโทรไลต์จะเริ่มรั่วซึม ซึ่งอาจเกิดขึ้นได้เนื่องจากคุณภาพของแบตเตอรี่ไม่ดี หรือเพราะแบตเตอรี่อยู่ในนาฬิกามานาน เช่น หากแบตเตอรี่เสื่อมสภาพและอยู่ในนาฬิกามาหลายปีแล้ว
คุณสามารถอ่านวิธีการเปลี่ยนแบตเตอรี่นาฬิกาได้ที่นี่: https://battery-th.techinfus.com/zamena-batarejki-v-chasah นอกจากนี้คุณยังจะได้เรียนรู้วิธีการถอดชิ้นส่วนนาฬิกาข้อมือที่มีแบตเตอรี่ที่บ้านอีกด้วย
รายชื่อนาฬิกาที่มีแบตเตอรี่ใช้งานได้นาน 10 ปี
- คาซิโอ W-753
- คาซิโอ W-210
- คาสิโอ เออี-1000
- คาสิโอ เออี-3000
- คาซิโอ ดีบีซี-32
- คาซิโอ LW-200
- คาสิโอ เออี-1200
- คาซิโอ W-756
- คาสิโอ เออี-2000
- คาสิโอ เออีคิว-110
- คาสิโอ เออีคิว-110
- คาสิโอ เออี-1400
- คาซิโอ เอชดีเอชดี-600
- คาซิโอ เอคิว-180
- คาสิโอ เออีคิว-200
- คาซิโอ LW-203
- คาซิโอ W-735
- คาซิโอ เอฟ-201
- คาสิโอ เออี-2100
- คาสิโอ AW-80
- คาซิโอ เอสทีอาร์-300
- คาซิโอ W-752
- คาซิโอ W-800
หากต้องการทราบประเภทแบตเตอรี่ที่แน่นอนในนาฬิกาของคุณ คุณจะต้องเปิดนาฬิกา แต่คุณอาจจะสามารถหาชื่อแบตเตอรี่ได้จากตารางด้านล่าง
ตารางความเข้ากันได้ของแบตเตอรี่นาฬิกา
| ชื่อของนาฬิกา | แบตเตอรี่นาฬิกาที่เหมาะสม |
| คาซิโอ | SR621SW |
| แบตเตอรี่นาฬิกาโซนี่ (โซนี่) | 1) 377(SR626SW).2) SR726 องค์ประกอบกำลังไฟสำหรับอุปกรณ์นี้สามารถเป็น 3 และ 1.5 โวลต์ได้ |
| สวอทช์ | 394 |
| แบตเตอรี่สำหรับนาฬิกา Tissot | 394, เอสอาร์936SW ที่ 1.55 V, SR616SW |
| แหล่งกระแสไฟปัจจุบันในนาฬิกาของนิค | ส่วนประกอบของแท็บเล็ต |
| แบตเตอรี่สำหรับนาฬิกา Orient | SR920SW |
| พาวเวอร์แบงค์สำหรับสมาร์ทวอทช์ | นี่คือแบตเตอรี่ ความจุความจุ 350-380 mAh ที่แรงดัน 3.7 โวลต์ ความกว้าง 24 มม. ความสูง 31 มม. |
| มอนแทนา | LR41 1.5 โวลต์ |
| แบตเตอรี่นาฬิกา Guess | LR621, 321 |
| องค์ประกอบพลังงานในนาฬิกาอำพัน สหภาพโซเวียต | กระบอกกลมที่มีเครื่องหมาย 373ประเภท D. R20 |
| คาร์เซอร์ ks 9897 | ขึ้นอยู่กับรุ่น นาฬิกาจากบริษัทนี้อาจติดตั้งชิ้นส่วนพลังงานประเภทต่างๆ แอลเอหรือ แบนในรูปของเหรียญกษาปณ์ |
| ตะวันออก | 377, SR626 |
| ฟอสซิล | LR621 |
| อิเล็กทรอนิกส์ 52 | องค์ประกอบพลังงาน 362 |
| นาฬิกาดีเซล | เอจี4SR616, ส่วนประกอบกระแสไฟฟ้าเหล่านี้จะถูกติดตั้งโดยขึ้นอยู่กับรุ่น |
นอกจากนี้ สำหรับตัวบอกเวลาบางประเภท แบตเตอรี่แบบแท็บเล็ต 1220 ขนาด 3 โวลต์ก็เหมาะสมอย่างยิ่ง
นาฬิกาควอตซ์ ใช้แบตเตอรี่หรือไม่?
โดยพื้นฐานแล้ว นาฬิกาแต่ละเรือนประกอบด้วยชิ้นส่วนหลายอย่างที่ช่วยให้การทำงานของอุปกรณ์โดยรวมเป็นไปได้
| โมดูล | ประเภทของนาฬิกา | |
| เครื่องกล | ไฟฟ้า | |
| เครื่องกำเนิดไฟฟ้า | โซ่พร้อมตุ้มถ่วงและสปริง | แบตเตอรี่หมด |
| ออสซิลเลเตอร์หลัก | คานทรงตัวหรือสัญญาณไฟนำทาง | ออสซิลเลเตอร์แบบใช้ตัวเรโซเนเตอร์ควอตซ์ |
| อุปกรณ์นับจำนวน | เฟืองคอมเพล็กซ์ | อุปกรณ์ไฟฟ้า |
| พื้นผิวแสดงข้อมูล | หน้าปัดพร้อมเข็มนาฬิกา | กระดานคะแนนหรือหน้าจอ |
| อุปกรณ์แสดงเวลาอิเล็กทรอนิกส์แบบดั้งเดิมบางชนิดอาจมีตัวเรโซเนเตอร์ควอตซ์อยู่ภายใน และเรียกอีกอย่างว่าอุปกรณ์แสดงเวลาควอตซ์ | ||
ใช่แล้ว นาฬิกาควอตซ์ใช้แบตเตอรี่ค่ะ
แบตเตอรี่นาฬิการาคาเท่าไหร่?
ราคาของแหล่งพลังงานดังกล่าวอยู่ที่ประมาณ 100 รูเบิล อาจแพงกว่าในบางร้านและถูกกว่าในบางร้าน
หากคุณต้องการซื้อแบตเตอรี่ที่ดีที่สุดสำหรับนาฬิกาข้อมือของคุณ ควรเลือกซื้อแบตเตอรี่ชนิดซิลเวอร์ออกไซด์จากบริษัทผู้ผลิตเสมอ เรนาต้า หรือ แม็กซ์เวลล์นาฬิกาตั้งโต๊ะมักจะมี รูปทรงนิ้วมือหรือส่วนประกอบของนิ้วก้อย และกำหนดให้เป็น AA และ แอลเอ.
วิธีเลือกแบตเตอรี่นาฬิกา? เคล็ดลับ!
ในส่วนนี้จะให้คำแนะนำบางประการเกี่ยวกับวิธีการเลือกแบตเตอรี่นาฬิกา
โมเดลส่วนใหญ่ใช้ตัวจ่ายไฟขนาด 1.5-1.55 โวลต์ แม้ว่าแหล่งจ่ายกระแสไฟจะเป็นแบบนั้นก็ตาม กำลังปล่อยนาฬิกายังคงทำงานได้ที่แรงดันไฟฟ้าไม่เกิน 1.4 โวลต์ ซึ่งเป็นแรงดันไฟฟ้าที่ทำให้นาฬิกาเดินได้ต่อไป
พารามิเตอร์ต่างๆ กล่าวคือ รูปทรง ต้องสอดคล้องกับช่องเปิดในกลไกอย่างเคร่งครัด ควรให้ความสำคัญเป็นพิเศษกับความสูงและเส้นผ่านศูนย์กลาง
หากผู้ใช้มีปัญหาในการระบุประเภทแบตเตอรี่ในอุปกรณ์ ควรตรวจสอบประเภทโมดูลและเลือกแบตเตอรี่ที่ถูกต้องตามนั้น สำหรับการเปลี่ยนแบตเตอรี่ คุณสามารถติดต่อศูนย์บริการหรือทำการเปลี่ยนด้วยตนเองได้ ขั้นตอนดังกล่าวได้อธิบายไว้ข้างต้นแล้ว
วัดเส้นผ่านศูนย์กลางและความสูงของขั้วต่อแบตเตอรี่ วิธีที่ดีที่สุดคือการติดแถบวัดไว้ที่ด้านล่างแล้วทำการวัด
โปรดจำไว้ว่าแบตเตอรี่ที่บางกว่าจะมีอายุการใช้งานสั้นกว่าเนื่องจากความจุต่ำกว่า.
ควรเตรียมอะไรบ้าง แอลอาร์ หรือ เอสอาร์?
LR เป็นประเภทด่างที่มี ความจุแบตเตอรี่ชนิดนี้มีประสิทธิภาพต่ำกว่าชนิดที่สองถึง 1.4 เท่า และยังมีอัตราการรั่วไหลของอิเล็กโทรไลต์สูงอีกด้วย แรงดันไฟฟ้าอยู่ที่ 1.5 โวลต์ ส่วนแบตเตอรี่ SR เป็นแบตเตอรี่ซิลเวอร์ออกไซด์ที่มีแรงดันไฟฟ้า 1.55 โวลต์ แบตเตอรี่อัลคาไลน์มีข้อดีที่สำคัญเพียงอย่างเดียวคือ ราคาถูก โดยปกติจะระบุเป็น G, Alkaline หรือ LR
ความต้านทานภายในสูงหรือต่ำ แบบไหนดีกว่ากัน?
ตัวอักษร W และ SW บ่งบอกถึงค่าความต้านทาน สัญลักษณ์แรกแสดงถึงความต้านทานต่ำ ในขณะที่สัญลักษณ์ที่สองแสดงถึงความต้านทานสูง W เหมาะสำหรับนาฬิกาที่มีฟังก์ชันเพิ่มเติม เช่น ปฏิทิน นาฬิกาปลุก นาฬิกาจับเวลา หรือไฟแบ็คไลท์ สามารถรับภาระได้สูงสุด แต่มีการคายประจุเองสูง ส่วน SW มีการคายประจุเองต่ำ แต่ใช้ในนาฬิกาที่ไม่ต้องการพลังงาน
อ่านบทความที่เกี่ยวข้องเพิ่มเติม:









